トランスポゾンを用いた効率的な蛋白質生産

Efficient production of recombinant proteins in suspension CHO cells culture using the Tol2 transposon system coupled with cycloheximide resistance selection.

Keina Yamaguchi, Risa Ogawa, Masayoshi Tsukahara and Koichi Kawakami

Scientific reports (2023) 13, 7628 DOI:10.1038/s41598-023-34636-4

哺乳類細胞におけるDNA組み換え技術は、数十年にわたり治療用タンパク質の製造に応用されてきました。商業生産に使用するためには、確立された細胞株が高い生産性と人間への使用に適した品質で目的タンパク質を安定して発現する必要があります。従来のDNAトランスフェクション法では、優れた細胞株を選び出すために、多数の細胞プールやクローン細胞株から選択する必要があるため、スクリーニングプロセスは手間と時間がかかっていました。本研究では、Tol2トランスポゾンシステムとシクロヘキシミド耐性による細胞選択の組み合わせが、チャイニーズハムスター卵巣(CHO)細胞の浮遊培養において、ヒト抗体などの治療用タンパク質を発現するための効率的な方法であることを示しました。この方法によって得られた細胞株は、十分な培養期間を通じて、組換えタンパク質のコンスタントな生産性と細胞増殖を示しました。このアプローチが、医薬品の研究開発におけるタンパク質の生産に広く応用可能であると考えます。

本研究は、国立遺伝学研究所と協和キリン株式会社の共同研究として行われました。

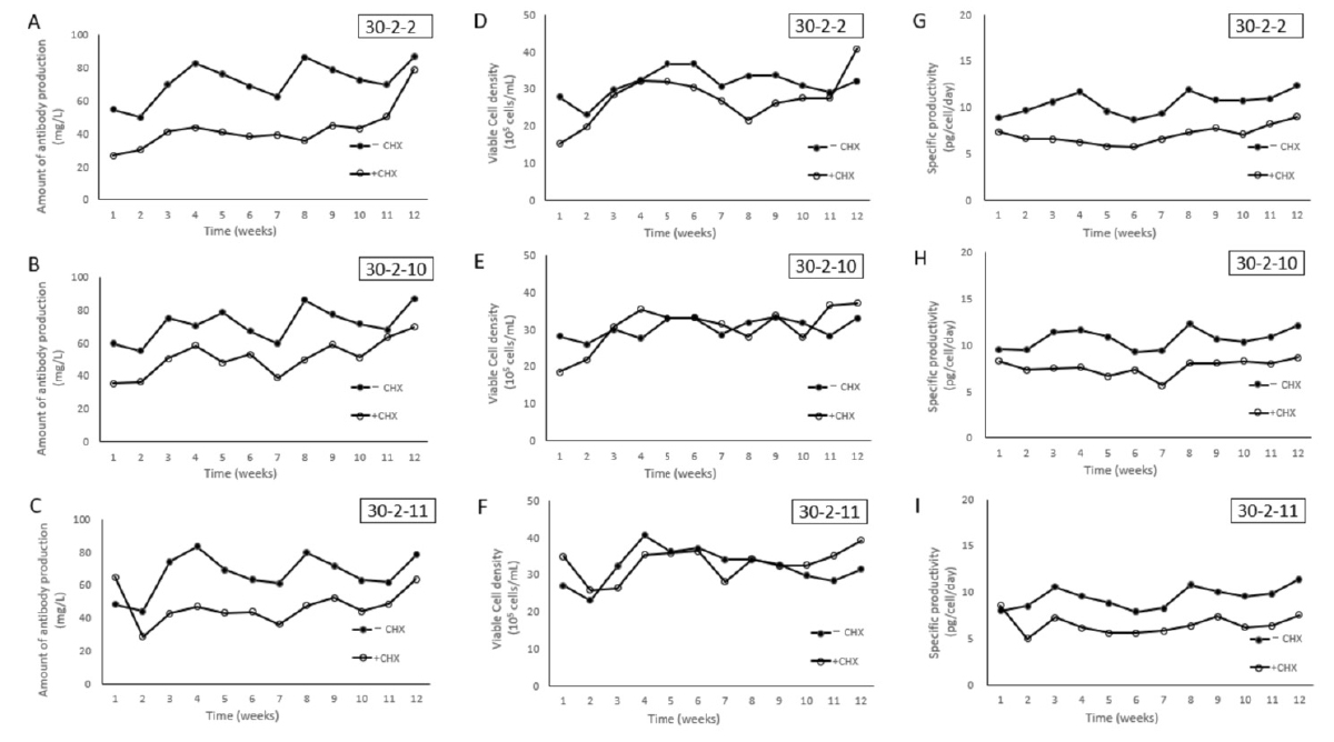
Figure1

図:細胞株30-2-2、30-2-10、30-2-11のCHX選択の有無による抗体生産性と細胞増殖の変化。細胞株30-2-2、30-2-10、30-2-11をCHX選択圧の存在下(白丸)または非存在下(黒丸)で長期培養した場合の抗体生産性(A、B、C)、細胞増殖(D、E、F)、特異的抗体生産性(pg/細胞/日)(G、H、I)の変化。12週間にわかって高い抗体生産性と細胞増殖が見られた。